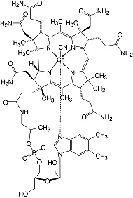
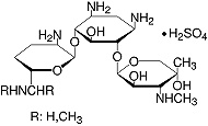
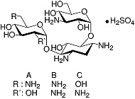
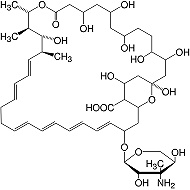
Pharmacopoeia Grade

This section contains SERVA products which correspond in their physical and chemical properties to the requirements of the indicated Pharmacopoeia monographs. As all other SERVA products, they are tested only for laboratory use and not for applications in humans.




Top
Close window
NZYtech Catalog 2025

In detail you will find all products of NZYtech in 2025:

New Supreme NZY Reverse Transcriptase 1 kU/µL
Quality products for the life science research
Diverese portfolio for moleculare biology
Everything for DNA & RNA purification, Real Time and End-Point PCR and much more
Various enzymes for Glycobiology
nzytech_catalogue_2025.pdf
Close window
Electrophoresis by SERVA - Catalog

• Isoelectric Focusing

• SDS PAGE

• 2D Electrophoresis

• Native Electrophoresis

• Western Blotting

• Nucleic Acid Electrophoresis

• Equipment

SERVA Electrophoresis Catalog (PDF)
Close window
Watch the SERVA Video!

We are SERVA! Watch to see where we are located and how we are serving scientists worldwide.

SERVA Video

Close window
Certificates of Analysis
now online!

How to find the required certificate of analysis for your product:
In the search, enter the 5-digit article number without additional packaging, i.e. 11404 if you are looking for the AZ for your 500 g-Pack Agarose 11404.02.
Now click on the search result and you will be taken to the product entry. Here you will find the link "Certificate of Analysis", which you follow.
Now select the lot number from the list and download the PDF with a click. Done.

Close window
SERVA - now on YouTube

SERVA InfoMail - Get the latest information

Close window

When subscribing to »SERVA InfoMail« you will receive information about the latest product release, special promotions, new jobs at SERVA and more. This service is, of course, free of charge.
You may remove your name any time from the list of recipients.

Quick Order

Close window

Using the Quick Order field, you can add a product to your shopping cart with just one click. All you have to do: enter the Cat.No. as shown in our catalog in the format xxxxx.yy and click the Go!-Button.